Optimizing Register Machines for GCD Computations: Data Paths and Controller Design

Table of Contents

Register Machines

Register machines provide a bridge between high-level algorithmic thinking and the concrete reality of physical computation. As explored in Chapter 5 of Structure and Interpretation of Computer Programs, these abstract machines allow us to reason about computation at a level that illuminates both the nature of algorithms and the architecture of real computers.

Understanding Register Machines

A register machine is a computational model consisting of a finite set of registers (storage locations that hold values), a collection of operations that can be performed on register contents, and a controller that orchestrates the sequence of operations. This abstraction sits at a sweet spot: it's simple enough to reason about mathematically, yet rich enough to capture the essence of how real processors execute programs.

The power of register machines lies in their ability to make explicit what is implicit in higher-level languages. When we write (gcd 206 40) in Scheme, the evaluation model handles recursion, parameter passing, and return values automatically. A register machine forces us to think about where values are stored and how control flows through the computation—considerations that compilers must address when translating high-level code to machine instructions.

Anatomy of a Register Machine

Every register machine comprises three essential components:

  • Registers: Named storage locations (like a, b, t in our GCD example) that hold data values during computation. Unlike variables in high-level languages, registers are explicitly managed resources.
  • Data Paths: The network of operations (arithmetic, comparison, etc.) and connections that define how data flows between registers. The data paths specify what operations are possible, not when they occur.
  • Controller: A sequence of instructions that orchestrates operations on the data paths. The controller specifies when operations occur, implementing the algorithm's control flow through labels, tests, and branches.

This separation between data paths (what can happen) and controller (what does happen) mirrors the distinction in real processors between the arithmetic logic unit (ALU) and control unit.

GCD: A Complete Example

The greatest common divisor (GCD) algorithm illustrates register machine design principles. Given two numbers, Euclid's algorithm repeatedly replaces the larger number with the remainder of dividing the larger by the smaller, until one number becomes zero.

Data Paths

gcd-data-paths.png

The data paths diagram shows the computational resources available: three registers (a, b, t), a remainder operation (rem), an equality test (=), and the constant 0. The arrows represent possible data movements. Notice that not all connections exist—for instance, we cannot directly copy a to t; we must route through the rem operation.

Controller

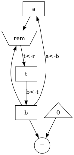
gcd-controlle.png

The controller implements the algorithm's logic. Starting from start, we test if b equals zero. If yes, we're done (a contains the GCD). If no, we execute three sequential operations: compute the remainder (t<-r), shift b into a (a<-b), shift the remainder into b (b<-t), then loop back to the test. This sequence corresponds to the functional update (gcd b (remainder a b)) in recursive Scheme code.

Scheme Implementation

We can implement a register machine simulator in Scheme to execute this design:

(define (make-machine register-names ops controller-text)
  (let ((machine (make-new-machine)))
    (for-each (lambda (register-name)
                ((machine 'allocate-register) register-name))
              register-names)
    ((machine 'install-operations) ops)
    ((machine 'install-instruction-sequence)
     (assemble controller-text machine))
    machine))

(define gcd-machine
  (make-machine
   '(a b t)
   (list (list 'rem remainder) (list '= =))
   '(test-b
       (test (op =) (reg b) (const 0))
       (branch (label gcd-done))
       (assign t (op rem) (reg a) (reg b))
       (assign a (reg b))
       (assign b (reg t))
       (goto (label test-b))
     gcd-done)))

;; Execute the machine
(set-register-contents! gcd-machine 'a 206)
(set-register-contents! gcd-machine 'b 40)
(start gcd-machine)
(get-register-contents gcd-machine 'a)  ; => 2

Connection to Modern Computing

Register machines are not merely pedagogical tools; they reflect how real computation works. Modern compilers translate high-level languages to intermediate representations that closely resemble register machine instructions. Virtual machines like the JVM and Python's bytecode interpreter are essentially sophisticated register machines. Understanding register machines illuminates:

  • Compiler Design: How to allocate variables to registers, minimize memory traffic, and generate efficient instruction sequences.
  • Architecture: Why processors are designed with particular register sets, why instruction sets have the operations they do.
  • Performance: Where computational costs arise—register pressure, pipeline stalls, branch mispredictions all become tangible when thinking at the register machine level.

The register machine model also clarifies the relationship between iterative and recursive processes. Our GCD machine executes an iterative process: it uses bounded space (three registers) regardless of input size. A recursive GCD would require additional mechanism for saving and restoring state—a topic SICP explores through stack-based machines.

By studying register machines, we develop intuition for the constraints that shape real computing systems and the transformations that compilers must perform. This understanding makes us better programmers, capable of reasoning about performance and predicting how high-level abstractions map to machine execution.

Author: Jason Walsh

j@wal.sh

Last Updated: 2025-12-22 12:54:05

build: 2026-02-02 00:47 | sha: 7414ae7